The fastest growing independent news network in the world. We cover breaking news, politics, law and more. We are unapologetically pro-democracy.

BIG NEWS: When Adam Kinzinger stood up to Trump and risked everything, director Steve Pink captured it all. Meidas Studios just released our latest documentary ‘The Last Republican’ on all major platforms. Watch the movie today!
351
145
8214
Swalwell’s campaign is in free fall following troubling accusations, Trump floats sweeping pardons, as inflation spikes and sentiment hits record lows. Meanwhile, high stakes Iran talks are imminent, new Epstein-linked allegations surface, and global tensions are escalating fast.
76
6
913
Reposted by MeidasTouch
katiephang.bsky.social's profile picture
@elienyc.bsky.social says the clock is ticking on our chance to stop Convicted Felon Donald Trump from committing more atrocities.

He explains how impeachment, conviction, and removal will stop future catastrophes from taking place & if we don’t try, we’ll be complicit.

youtu.be/Br7aYjLBHkY?si=zBfg4ZfCav-rF0yq
30
9
959
CNN follows SF Chronicle's reporting on Swalwell with their own exclusive:
269
85
1069
Trump floated mass pardons for insiders, a top Democrat is calling for a cognitive exam, inflation just surged to its highest level in months, and global tensions with Iran are intensifying.

Meanwhile, Eric Swalwell’s campaign is in turmoil with top allies resigning amid serious allegations. 👇
48
5
786
Reposted by MeidasTouch
daveweigel.bsky.social's profile picture
Swalwell's endorsers are fleeing (Gallego, Gomez, CTA) and I don't expect him to get much grace. CA Dems were already frustrated that no one would quit the gov race. Swalwell jumped in fairly late (after Porter's gaffe) with this sword of Damocles hanging over him
66
15
1489
Reposted by MeidasTouch
ronfilipkowski.bsky.social's profile picture
Today in Politics, Bulletin 346. Everything you need to know about what happened today in politics. open.substack.com/pub/meidastouch/p/today-in-politics-bulletin-346-41026?r=9qw74&utm_medium=ios
14
8
416
Reposted by MeidasTouch
sfchronicle.com's profile picture
A woman who worked for nearly two years for Rep. Eric Swalwell, a leading candidate for California governor, said she had sexual encounters with him while he was her boss and alleged he twice sexually assaulted her when she was too intoxicated to consent.
195
467
1381
Reposted by MeidasTouch
statuscoupnews.bsky.social's profile picture
"Do we get to be human?...They've taken away billions of dollars from Medicaid, I don't know how much services that I'm going to have when those cuts hit next year." - disabled Wisconsin resident on struggles living in Trump economy

LIVESTREAM ⬇️
16
7
620
Reposted by MeidasTouch
acyn.bsky.social's profile picture
MacFarlane: If the first lady is trying to preemptively defuse a journalistic bomb that's coming on the Epstein files, I know a lot of good PR practitioners would say: you don't defuse a bomb by calling attention to the bomb
400
120
11159
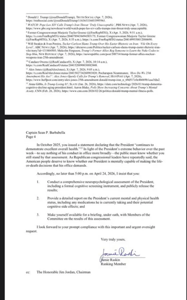
Top Democrat on House Judiciary formally asks White House physician to conduct cognitive exam of Trump: “Experts have repeatedly warned that the President has been exhibiting signs consistent with dementia and cognitive decline… increasingly incoherent, volatile, profane, deranged, and threatening.”
322
130
5696
This is a masterclass by Buttigieg
159
30
2802
Iran’s Parliament Speaker Mohammad Bagher Ghalibaf says key conditions for talks with the U.S. remain unmet, warning no negotiations will begin until a ceasefire in Lebanon is enforced and Iran’s frozen assets are released
42
17
895
Energy inflation rose +10.9% (largest since 2005), while gasoline prices jumped 21.2% in March — the biggest increase since records began in 1967. Gas is now up nearly 40% since late February. 2/2
11
3
493
🚨INFLATION SURGES: U.S. inflation surged to 3.3% in March as the Iran war’s energy shock rippled through the economy, with prices jumping 0.9% — the biggest monthly spike since June 2022. 1/
64
31
1517
Trump’s DOJ claims it’s cracking down on fraud.

Meanwhile, Trump has pardoned 70+ allies, donors, and insiders convicted of fraud.

So what exactly is this “war on fraud”?

Katie Phang breaks down the hypocrisy.

Unfiltered.

Watch 👉 youtu.be/wvX7-oYs-cs?si=BE_mOLNjX7T7ygvq
69
11
2601
New cycle detected
74
26
3283
If the goal of Melania’s speech was to make people stop talking about her, Epstein, and Maxwell—and definitely stop reposting all those photos of them—not so sure that was an effective strategy
644
122
11895
Live now! Join us:
5
0
144
Melania and Donad's Epstein connections resurface following a bizarre speech; Trump crashes out as the so-called ceasefire hangs by a thread; Troubling economic data; and more. Watch the MeidasTouch Podcast at 8p ET/5p PT!
30
4
911
Melania Trump wants these photos and emails to be scrubbed from the Internet. Please stop liking and sharing them. Thank you for your attention to this matter.
406
260
10871
It’s in the agreement you keep calling a hoax. Maybe try reading it.
203
26
2693
Joint venture isn't working out?
23
4
886
Perhaps Trump should have read the terms he agreed to
328
56
3147
Reposted by MeidasTouch
ronfilipkowski.bsky.social's profile picture
Trump unleashes a deranged tirade, personally attacking Tucker Carlson, Marge Greene, Candace Owens, Megyn Kelly, Alex Jones and other longtime supporters.
724
225
3142
Iran Speaker of Parliament: "Time is running out"
27
13
1019
EXCLUSIVE: Records show Rep. Rob Bresnahan took a 2022 private flight on a plane owned by a company later hit with a proposed $1.1M FAA fine—whose owner also donated $14,600 to his campaign.

Bresnahan now sits on a committee overseeing the FAA.

👉 meidasnews.com/news/questions-emerge-over-republican-congressman-bresnahans-flights-and-donor-ties
65
11
1208
NEW: Trump promised to lower costs on “Day One.”

A new Senate report finds the opposite — Americans are now facing an $86 BILLION annual burden as consumer safeguards disappear.

👉 meidasnews.com/news/trumps-day-one-cost-promise-falls-short-as-new-senate-report-finds-86-billion-annual-burden-on-americans
38
11
1592
Iran state TV reads statement attributed to Supreme Leader: Iran will seek retribution for attacks, take management of the Strait of Hormuz into a “new phase,” and is resolute in avenging its leader and “martyrs."
122
44
1019
Hmm...
54
11
946
BREAKING: House Republicans block the Democrats’ attempt to pass an Iran War Powers Resolution—refusing even to allow a vote.

During a pro forma session, Rep. Glenn Ivey sought unanimous consent to advance the measure. Presiding GOP Rep. Chris Smith ignored the request and abruptly gaveled out.
321
143
1953